Authors: Kashif Abbas ( Aga Khan University Hospital, Karachi, Pakistan. )
Raza Askari ( Aga Khan University Hospital, Karachi, Pakistan. )
Masood Umer ( Aga Khan University Hospital, Karachi, Pakistan. )
Kamran Hafeez ( Aga Khan University Hospital, Karachi, Pakistan. )
December 2014, Volume 64, Issue 12
Original Article
Abstract
Objectives: To determine the proportion of inappropriate transfusions in patients undergoing orthopaedic surgery at a tertiary care university hospital, and factors associated with inappropriate transfusions.
Methods: The prospective study was conducted at Aga Khan University Hospital, Karachi, from December 2008 to September 2009, and comprised patients admitted to the Orthopaedic Department and received transfusion of at least one packed cell. Patients were divided into four groups: A, those with haemoglobin < 7, B, haemoglobin 7.1-10 without ischemic heart disease, C, haemoglobin 7.1-10 with ischemic heart disease, and D, haemoglobin >10. Variables recorded were, pre-transfusion haemoglobin level, co-morbids, symptoms of hypovolemia, pre-transfusion volume replacement with fluids, transfusion reactions, and haemoglobin after 48 hours. Indications of transfusion were assessed in accordance with available data.
Results: Of the 126 patients, 65(52%) were males and 61(48%) were females. There were 18(14%) patients in group A, 88(70%) in group B, 12(10%) in group C, and 8(6%) in group D. Overall, Overall, 44(35%) were transfused appropriately according to the criteria, and 82(65%) were inappropriate.
Conclusion: The number of inappropriate transfusion was quiet high and demands revision of institutional policy of packed cell transfusion in accordance with available guidelines.
Keywords: Blood transfusion, Orthopaedic surgery. (JPMA 64: S-144 (Suppl. 2); 2014).
Introduction
Blood transfusion and blood conservation (techniques or strategies to avoid the need for blood) are complementary activities that constitute the clinical arena of transfusion medicine. Recent improvements in the safety of the blood supply and the increasing costs associated with transfusion therapies have led to a re-evaluation of the clinical practices of blood transfusion and blood conservation.
Among the issues that have been re-evaluated are the threshold for transfusion at which the benefits outweigh the risks and the identification of patients most likely to benefit from blood conservation.1
Historically, haemoglobin concentration or haematocrit value at which physicians transfuse allogeneic blood products during acute anaemia, that is, the transfusion trigger or threshold, has been 100g/L or 30%.2-7 Plasma transfusions to correct coagulation abnormalities (and in the past, to expand intravascular volume) have also been guided by standard protocols and specific triggers rather than an assessment of the individual patient\'s overall risks and benefits. Since 1985, concerns about the transmission of human immunodeficiency virus (HIV) and other viruses through blood products have significantly modified both real and perceived risks and benefits. Many agencies have responded by issuing clinical practice guidelines (CPGs) advocating a more restrictive approach to the use of allogeneic red blood cells (RBCs) and plasma.6-10
Transfusion practices have been shown to vary substantially between hospitals, within clinical settings, within specific disease categories and surgical procedures independent of patient characteristics. International estimates of inappropriate RBC transfusion range from 16% to 66%. So far, there are no absolute guidelines available to facilitate the decision of transfusion and thus the practice remains flexible with varying threshold for transfusion. The use of algorithms and implementation of educational programmes have proven to be effective in modifying the conduct and beliefs of physicians in relation to transfusion. Nevertheless, randomised controlled studies that provide evidence-based data are needed for future transfusion practice.**22-24 World Health Organisation (WHO) guidelines suggest that transfusion is indicated with haemoglobin level <7gm/dl, and not needed with value >10gm/dl. However, what falls between these two limits is the starting point of controversy.
The aim of current study was to assess the appropriateness of transfusion at orthopaedic floor in terms of its compatibility with the available guidelines and to standardise the practice of transfusion.
Patients and Methods
The prospective study was conducted from December 2008 to September 2009 at Aga Khan University Hospital, Karachi, and comprised patients who were admitted to Orthopaedic Department and received transfusion irrespective of initial trauma or the postoperative day. All patients who were transfused at least 1pnt of PRBC were included. Those who received preoperative transfusions and all transfusions other than RBCs were excluded. The patients were divided into four groups: A, those with haemoglobin < 7, B, haemoglobin 7.1-10 without ischemic heart disease, C, haemoglobin 7.1-10 with ischemic heart disease, and D, haemoglobin >10.
Data was collected through a specifically designed questionnaire which was filled out concurrently as the patients were transfused by on-call duty doctor. They were first familiarised with the questionnaire and information was collected until the patient was discharged from the Orthopaedic service.
Variables recorded were demographic details like age, gender, date and duration of hospitalisation, mode of admission (emergency or elective), type of surgery, pre-transfusion haemoglobin level, American Society of Anesthesiologists (ASA) level, co-morbids, signs and symptoms of hypovolemia (like weakness, vertigo, syncope, tachycardia, angina, dyspnoea, mental status change), pre-transfusion volume replacement with fluids, pre-transfusion vitals, transfusion reactions and haemoglobin after 48 hours. Indications of transfusion were assessed in accordance with available data. We also noted the consultant under whose supervision the patient was admitted and who ordered the transfusion.
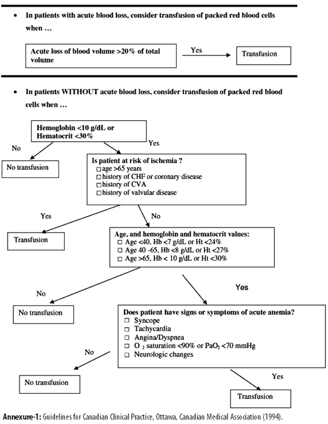
We compared our transfusion practices with the guidelines of the Guidelines for Canadian Clinical Practice, Ottawa, Canadian Medical Association, 1994 (Annexure-1).
It is a set protocol of indications for transfusions,
According to the guidelines, if the acute blood loss is >20% regardless of haematocrit, the patient needs transfusion. If there is no acute blood loss, consider haematocrit; if its >30% no need for transfusion, but if <30% then transfuse if the patient is at the risk of ischemia which include age >65, history of chronic heart failure (CHF) or coronary artery disease (CAD), stroke or transient ischemic attack (TIA) or history of heart valve disease. If the patient is not at the risk of ischemia then in comes the age and haematocrit (Hct) criteria which is age <40 Hct <24 % (If patient is healthy and can tolerate lower haematocrit) age 40-65, Hct <27% age >65, Hct <30 % if no, then no transfusion, but, if yes, then check if the patient has signs and symptoms of acute anaemia which are syncope tachycardia (older than 40 yrs, heart rate(HR) >100, younger than 40, HR>120) Angina/Dyspnaea Pulse oximetry <90% or arterial blood gas (PaO2) <70 mmHg, Mental status change, if yes, then transfuse, if no, then no transfusion is required.11-19
We also compared our data with British Task Force recommendations20 which consider need based on estimation of lost blood volume and on haemoglobin concentration (Annexure-2).
It is expensive to collect, process and administer. One pint of blood costs about 120 Pounds in Britain and 19.2 British Pounds in Pakistan (Rs.2700 approximately)21 and so it calls for rational use of blood transfusion which means getting the right blood to the right patient at the right time.
After each transfusion, it was categorised as adequate or inadequate according to these established criteria. Nevertheless, randomised controlled studies that provide evidence-based data are needed for future transfusion practice.22-24
For statistical analysis, SPSS 17 was used.
Results
Of the 126 patients, 65(52%) were males and 61(48%) females. Overall, 12(10%) patients had prior IHD and 4(3%) had a pulmonary problem. There were 18(14%) patients in group A, 88(70%) in group B, 12(10%) in group C, and 8(6%) in group D.
Overall, 44(35%) were transfused appropriately according to the criteria, and 82(65%) were inappropriate (Table-1).
There were 44(35%) ASA 1, 53(42%) ASA 2 and 29(23%) ASA 3 patients. Overall, 75(59.5%) patients were transfused for the 1st time. Four (3%) patients encountered transfusion reactions, while 24(19%) patients had some clinical indication of transfusion, including hypotension and tachycardia (Table-2).
Pre-transfusion vitals showed 4(3%) had fever, 25(20%) had tachycardia and 2(1.6%) were tachypneaic and 7(5.5%) were hypotensive (Table-3).
Pre-transfusion Hb, IHD and co-morbid statuses of the patients were also noted (Tables-4-6).


Estimated blood loss, as assessed intraoperatively, was 250ml in 66(52%) patients, and 500ml in 31(25%) (Table-7).
Besides, 4(3%) patients were transfused on the day of surgery (Table 8).
Volume of blood transfused were also noted (Table-9).
There were 18(14%) patients who had Hb <7 and were transfused . Nine (7%) patients had Hb >10; 11(9%) had 7-10 with some co-morbid, while 88(70%) had Hb in 7-10 didn\'t have any comorbid yet they were transfused (Figure).
The practice pattern of different consultants were also seen which were arbitrary based on random criteria (Table-10).
Discussion
Blood transfusion is the process of transferring blood or blood-based products from one person into the circulatory system of another. It is life-saving in some situations as in acute haemorrhagic shock. Transfusions are also needed to replace blood lost during surgery. Blood transfusion though life-saving is not without risks or costs. Nevertheless, there is no consensus as to the precise indications for the use of this treatment and there is evidence of significant variations in transfusion practice. These variations do not correlate with the characteristics of the patients and depend more on the individual criteria of the attending physician; a fact that suggests extensive inappropriate transfusion use.25-27 The risks of transmitting numerous blood-borne diseases cannot be emphasised more. Safe blood is a scarce and valuable resource. And, hence, the need for more vigilant use of it.
In literature, the rates of appropriate transfusion practice vary enormously (from 3% to 42.3%) because of marked differences in the criteria used to assess this clinical activity.27-30 We found that most episodes of inappropriate use occurred as a result of overestimating the patient\'s immediate risk. Other studies have described a higher rate of inappropriate transfusion practice in surgery departments than in other medical specialities.
It is expensive to collect, process and administer. One pint of blood costs about 120 Pounds in Britain and 19.2 British Pounds in Pakistan (Rs.2700 approximately)21 and so it calls for rational use of blood transfusion which means getting the right blood to the right patient at the right time. Limiting transfusions to patients whose chance of survival or quality of life is improved with blood will help to decrease the high demand for blood products and will reduce unnecessary exposure of patients to the risks of transfusion. The unnecessary expenditure implicated in inappropriate PRBC transfusion implies a loss of capacity to meet other healthcare needs that might be beneficial to patients. Along this line, an important problem is the difficulty with which physicians assume the concept of cost-opportunity. The extended idea is that physicians should do what they think is best for the patient without other considerations. Nevertheless, this does not take into account the fact that when limited resources are involved, excessive attention to one patient may result in inadequate attention to another and may lead to inefficacy.28-31
The reasons for inappropriate use of this resource will be the subject of future investigation, but it is likely that the following will be among them: first, many physicians may be unaware that transfusion guidelines exist, and even if they know about them, they may not have sufficient knowledge of the specific situations in which transfusion is indicated; second, current trends in medical practice can result in overtreatment, particularly in cases of acute bleeding or in patients undergoing procedures in which the technical characteristics favour substantial bleeding; and, third, it is a fact that the available clinical guidelines for PRBC transfusion are not based on grade-A evidence in an age when evidence-based medicine is becoming the norm.31-33
General guidelines for appropriate transfusion practice include WHO recommendations which suggest that all donated blood should be tested for HIV, acquired immunodeficiency syndrome (AIDS) hepatitis, syphilis and malaria. Decision to transfuse must be based on hematologic and clinical status of the patient and patient\'s risks for developing complications of inadequate tissue-oxygen delivery.
There are many complications associated with blood transfusions which include allergic reactions, transfusion-related acute lung injury (TRALI), delayed haemolytic transfusion reaction, febrile non-haemolytic transfusion reaction, Graft vs. Host disease infections, and complications of massive transfusions.34
Different protocols are there for transfusion of blood products in different parts of the world. There are many controversies regarding blood transfusions, different criteria of assessing blood loss. Different protocols and threshold of transfusions are not only variable among different regions of the world, but even among different consultants of the same centre.
There was no gender-wise discrimination for transfusion. Approximately same number of males and females were inadequately transfused and the p value was also not significant. ASA level also had no significance though indirectly it should have as the more patient has co-morbid the lower the threshold of transfusion, and more the ASA value, more chances are there for these patients to be transfused. This was not the case with our patients as the p-value came out to be non-significant.
Clinical judgment also plays a significant role in deciding which patients to be transfused. Vitals, especially blood pressure and pulse, are very important in this regard. It was seen that only 24 patients had clinical symptoms of blood transfusion out of 126, showing total disregard to clinical judgment in addition to laboratory values.
Estimated blood loss also plays an important role in decision-making about blood transfusion. According to the British Committee for Standards in Haematology,35 acute blood loss of >40% or >2000ml requires rapid blood transfusion, while 15% loss of about 750ml needs no transfusion. In our study, there were 29 patients who had blood loss of 750ml or more and needed transfusion according to these guidelines, while 97 patients had a loss less than 750ml yet they were transfused.
Most of the patients (80) were transfused on 1st post-op day, most probably due to the practice of checking haemoglobin on 1st post-op day and then making the decision to transfuse. This post-op day was not a standard time after surgery, like it varied from 4hr to 18hrs depending upon the time of the day surgery ended. Due to this the reason for decreased Hb cannot be distinguished that whether it is due to the actual blood loss or dilutional decrease in Hb.
Recent literature also shows that there is no role of just 1 pint of blood transfusion, but in our study about half of the patients (61) were transfused 1 pint of blood.
We also concluded that 18(14%) patients had Hb <7 and were fulfilling the criteria for transfusion, while 9 patients had Hb of >10 and were unnecessarily transfused. Besides, 11 patients had Hb 7-10 and these patients had IHD as a co-morbid. Hence, they had a relative transfusion indication while a bulk of patients (70%) had the same Hb while not having any co-morbid but were still transfused which could have been clearly avoided. Many of the patients had their 1st transfusion and that too unnecessarily.
Individually, transfusion practices of all the consultants were analysed and it was found that the consultants had ordered unnecessary transfusions more than the indicated one and each having their own personal threshold. Interestingly, this is the only variable which came out significant (p<0.05).
It was estimated that every third patient admitted in the Orthopaedics Department had undergone blood transfusion whether appropriate or inappropriate. This shows the amount of burden on the acquiring, processing, storing and utilisation of this valuable source. Segregating adequate transfusions from inadequate ones decreased that number from 1 in 3 to 1 in 20, meaning that from 33% transfusion rate it dropped to 5% of the admitted patients. So, just by adhering to the guidelines, the need for transfusion can be drastically reduced and the pressure on this precious resource can be decreased.
Conclusion
The numbers of inappropriate transfusion was quiet high and demands revision of institutional policy of packed cell transfusion in accordance with available guidelines.
Acknowledgements
We are grateful to the Department of Medical Records and clinical staff for their cooperation.
References
1. Goodnough LT, Brecher ME, Kanter MH, Aubuchon JP. TRANSFUSION MEDICINE. Second of Two Parts. BLOOD CONSERVATION. N Engl J Med 2004; 340: 525-33.
2. Adams RC, Lundy JS. Anesthesia in cases of poor surgical risk: some suggestions for decreasing the risk. Surg Gynecol Obstet 1941; 71: 1011-4.
3. Zauder HL. Preoperative hemoglobin requirements. Anesth Clin N Am 1990; 8: 471-80.
4. Stehling L, Simon TL. The red blood cell transfusion trigger: physiology and clinical studies. Arch Pathol Lab Med 1994; 118: 429-34.
5. Graves CL, Allen RM. Anesthesia in the presence of severe anemia. Rocky Mt Med J 1974;67: 35-40.
6. Lundsgaard-Hansen P. The "critical hematocrit": a figure differing from patient to patient. Beitr Infusionther 1992; 30: 208-15.
7. Carson JL, Willett LR. Is a hemoglobin of 10g/dL required for surgery? Med Clin North Am 1993;77: 335-47.
8. Practice strategies for elective red blood cell transfusion. American College of Physicians. Ann Intern Med 1992; 116: 403-6.
9. Consensus Conference. Fresh-frozen plasma: indications and risks. JAMA 1985; 253: 551-3.
10. Consensus Conference. Perioperative red blood cell transfusion. JAMA 1988; 260: 2700-3.
11. Guidelines for Canadian clinical practice guidelines.Ottawa:Canadian Medical Association; 1994.
12. Hébert PC1, Wells G, Blajchman MA, Marshall J, Martin C, Pagliarello G, et al. A multicenter, randomized, controlled clinical trial of transfusion requirements in critical care. Transfusion Requirements in Critical Care Investigators, Canadian Critical Care Trials Group. N Engl J Med 1999; 340; 409-17.
13. Goodnough LT, Brecher ME, Kanter MH, AuBuchon JP. Transfusion medicine.First of two parts-blood transfuasion. N Engl J Med1999; 340; 438-47.
14. Concensus conference; perioperative red blood cell transfusion JAMA 1988; 260: 2700-3.
15. Practice Stratigies for elective Red blood cell transfusions. American College of Physicians. Ann Intern Med 1992;116: 403-6
16. Expert working group.Guidelines for Red blood cells and plasma transfusions for adults and children. Can Med Assoc J 1997;156 suppl 11:S1.S24.
17. Guidelines for blood transfusion services at MGH.
18. The university of Iowa Hospital & Clinics;Transfusion Guidelines.
19. Blood transfusion Guidelines.University of Michigan Medical Center.
20. Murphy MF, Wallington TB, Kelsey P, Boulton F, Bruce M, Cohen H, et al; British Committee for Standards in Haematology, Blood Transfusion Task Force. Br J Heamatol 2001; 113: 24-31.
21. Aga Khan University Hospital Karachi, Pakistan. Price list. [online] [cited 2014 Oct 13]. Available from: URL: http://www.aku.edu/AKUH/Patient_Visitor/page6.shtml.
22. Helm AT, Karski MT, Parsons SJ, Sampath JS, Bale RS. A strategy for reducing blood-transfusion requirements in elective orthopaedic surgery. Audit of an algorithm for arthroplasty of the lower limb. J Bone Joint Surg Br 2003; 85: 484-9.
23. Soumerai SB, Salem-Schatz S, Avorn J, Casteris CS, Ross-Degnan D, Popovsky MA. A controlled trial of educational outreach to improve blood transfusion practice. JAMA 1993; 270: 961-6.
24. Rubin GL, SchoWeld WN, Dean MG, Shakeshaft AP. Appropriateness of red blood cell transfusions in major urban hospitals and effectiveness of an intervention. Med J Aust 2001; 175: 354-8.
25. The Sanguis Study Group. Use of blood products for elective surgery in 43 European hospitals. Transfus Med 1194; 4: 251-68
26. Baele P. Transfusion depends on the doctor, not on the patient: the SAnGUIS Study of Transfusion in Elective Surgery in Europe. Acta Anaesthesiol Belg 1994; 45 :3-4.
27. Hebert PC, Wells G, Blajchman MA, Marshall J, Martin C, Pagliarello G, et al. A multicenter, randomized, controlled clinical trial of transfusion requirements in critical care. Transfusion Requirements in Critical Care Investigators, Canadian Critical Care Trials Group. N Engl J Med 1999; 340: 409-17.
28. Gombotz H, Rehak PH, Shander A, Hofmann A. Blood use in elective surgery: the Austrian benchmark study. Transfusion 2007; 47:1468-80.
29. Turgeon AF, Fergusson DA, Doucette S, Khanna MP, Tinmouth A, Aziz A, et sl. Red blood cell transfusion practices amongst Canadian anesthesiologists: a survey. Can J Anaesth 2006; 53: 344-52.
30. Young SW, Marsh DJ, Akhavani MA, Walker CG, Skinner JA. Attitudes to blood transfusion post arthroplasty surgery in the United Kingdom: a national survey. Int Orthop 2008; 32: 325-9.
31. Shander A, Hofmann A, Ozawa S, Theusinger OM, Gombotz H, Spahn DR. Activity-based costs of blood transfusions in surgical patients at four hospitals. Transfusion 2010; 50:753-65.
32. Salem-Schatz SR, Avorn J, Soumerai SB. Influence of knowledge and attitudes on the quality of physicians\' transfusion practice. Med Care 1993; 31: 868-78.
33. Goodnough LT, Shander A. Blood management. Arch Pathol Lab Med 2007; 131: 695-701.
34. Murphy MF, Wallington TB, Kelsey P, Boulton F, Bruce M, Cohen H, et al. Guidelines for the clinical use of red cell transfusions. Br J Haematol 2001; 113:24-31.
35. http://onlinelibrary.wiley.com/doi/10.1046/j.1365-2141.2001.02701.x/full 21 november 2014.
Related Articles
Journal of the Pakistan Medical Association has agreed to receive and publish manuscripts in accordance with the principles of the following committees:




